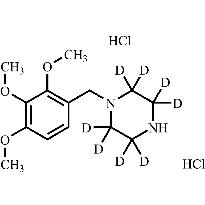
CAS Number: 1219795-37-5
Alternate CAS#:
Chemical Name: Trimetazidine-d8 DiHCl
Molecular Formula: C14H14N2O3D8. 2 HCl
Molecular Weight: 274.39 2 36.46
CAS Number: 78483-47-3
Alternate CAS#:
Chemical Name: Trimebutine Impurity 4
Molecular Formula: C11H17NO
Molecular Weight: 179.26
CAS Number: 5438-07-3
Alternate CAS#:
Chemical Name: Trimebutine Impurity 3
Molecular Formula: C10H13NO2
Molecular Weight: 179.22
CAS Number: 104743-23-9
Alternate CAS#:
Chemical Name: Trimebutine Impurity 2 HCl
Molecular Formula: C12H19NO. HCl
Molecular Weight: 193.29 36.46
CAS Number: 60577-23-3
Alternate CAS#:
Chemical Name: Trimebutine EP Impurity A HCl
Molecular Formula: C12H19NO. HCl
Molecular Weight: 193.29 36.46
CAS Number: N/A
Alternate CAS#:
Chemical Name: Trimebutine EP Impurity E-d5 HCl (N-Desmethyl Trimebutine-d5 HCl)
Molecular Formula: C21H22D5NO5. HCl
Molecular Weight: 378.48 36.46
CAS Number: 294882-33-0
Alternate CAS#:
Chemical Name: Trimebutine EP Impurity E HCl (N-Desmethyl Trimebutine HCl)
Molecular Formula: C21H27NO5. HCl
Molecular Weight: 373.45 36.46
CAS Number: 92414-09-0
Alternate CAS#:
Chemical Name: Trimebutine EP Impurity D
Molecular Formula: C22H29NO5
Molecular Weight: 387.48
CAS Number: 1916-07-0
Alternate CAS#:
Chemical Name: Trimebutine EP Impurity C (Trimethoprim EP Impurity H)
Molecular Formula: C11H14O5
Molecular Weight: 226.23
CAS Number: 34140-59-5 (non-labelled)
Alternate CAS#:
Chemical Name: Trimebutine-d5 Maleate
Molecular Formula: C22H24NO5D5. C4H4O4
Molecular Weight: 392.51 116.07
CAS Number: 39133-31-8
Alternate CAS#:
Chemical Name: Trimebutine
Molecular Formula: C22H29NO5
Molecular Weight: 387.48
CAS Number: 1082-57-1, 3715-90-0 (HCl Salt)
Alternate CAS#:
Chemical Name: Tramazoline
Molecular Formula: C13H17N3
Molecular Weight: 215.3













