CAS Number: 64332-33-8
Alternate CAS#:
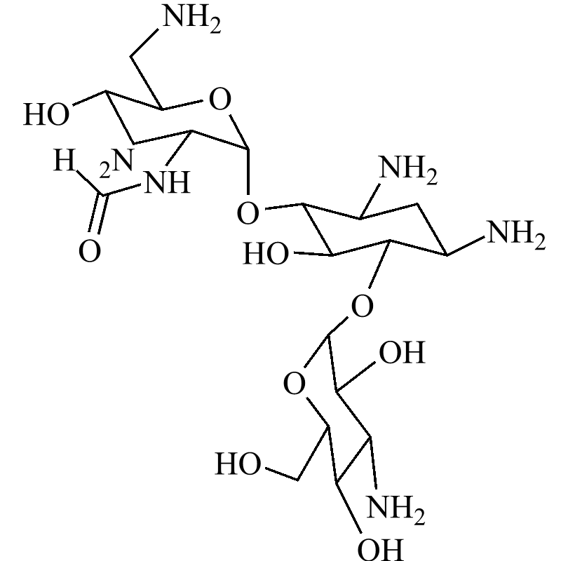
Chemical Name: Tobramycin Impurity 2
Molecular Formula: C19H38N6O10
Molecular Weight: 510.55
CAS Number: 74501-86-3
Alternate CAS#:
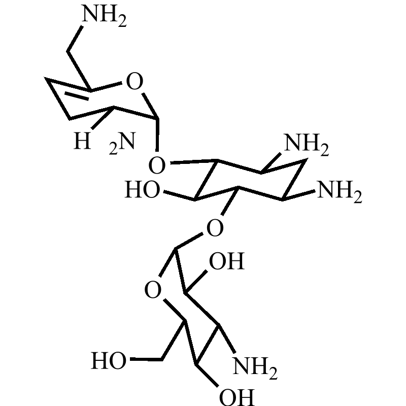
Chemical Name: Tobramycin Impurity 1
Molecular Formula: C18H35N5O8
Molecular Weight: 449.51
CAS Number: N/A
Alternate CAS#:
Chemical Name: Desacetyl Cefathiamidine
Molecular Formula: C17H26N4O5S2
Molecular Weight: 430.55
CAS Number: 1476-46-6 (free acid)
Alternate CAS#:
Chemical Name: Desacetyl Cephalosporin C Disodium Salt
Molecular Formula: C14H17N3O7S. 2 Na
Molecular Weight: 371.37 2 22.99
CAS Number: 104557-24-6
Alternate CAS#:
Chemical Name: Desacetyl Cephapirin Sodium Salt
Molecular Formula: C15H14N3O5S2 Na
Molecular Weight: 380.42 22.99
CAS Number: 52613-28-2
Alternate CAS#:
Chemical Name: Deacetylasperulosidic Acid Methyl Ester
Molecular Formula: C17H24O11
Molecular Weight: 404.37
CAS Number: 17750-90-2
Alternate CAS#:
Chemical Name: Desacetyl Rifamycin SV
Molecular Formula: C35H45NO11
Molecular Weight: 655.74
CAS Number: 17555-51-0
Alternate CAS#:
Chemical Name: Desacetyl Rifamycin S
Molecular Formula: C35H43NO11
Molecular Weight: 653.73
CAS Number: 175481-39-7
Alternate CAS#:
Chemical Name: Lacosamide EP Impurity E (R-Isomer)
Molecular Formula: C10H14N2O2
Molecular Weight: 194.23
CAS Number: 14259-55-3
Alternate CAS#:
Chemical Name: Desacetylasperulosidic Acid
Molecular Formula: C16H22O11
Molecular Weight: 390.34
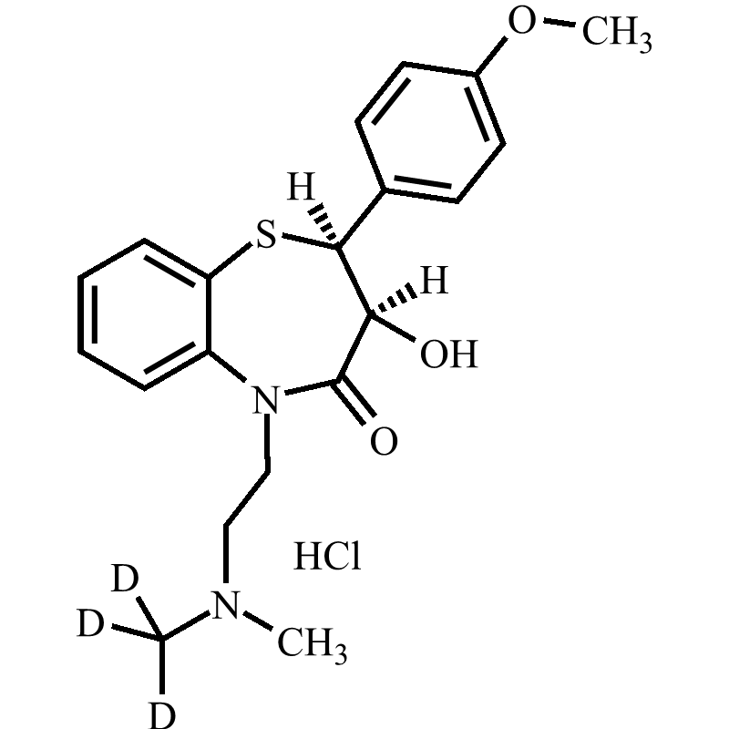
CAS Number: N/A
Alternate CAS#:
Chemical Name: Desacetyl Diltiazem-d3 HCl
Molecular Formula: C20H21N2O3SD3.HCl
Molecular Weight: 375.51 36.46
CAS Number: N/A
Alternate CAS#:
Chemical Name: Desethylterbutylazine-d9
Molecular Formula: C7H3ClN5D9
Molecular Weight: 210.71













