CAS Number: N/A
Alternate CAS#:
Chemical Name: Desmethyl Mebeverine Acid-d6
Molecular Formula: C15H17NO3D6
Molecular Weight: 271.39
CAS Number: 1329488-46-1
Alternate CAS#:
Chemical Name: Desmethyl Mebeverine Acid-d5
Molecular Formula: C15H18D5NO3
Molecular Weight: 270.38
CAS Number: 155172-67-1 (non-labelled)
Alternate CAS#:
Chemical Name: Desmethyl Mebeverine Alcohol-d5
Molecular Formula: C15H20NO2D5
Molecular Weight: 256.4
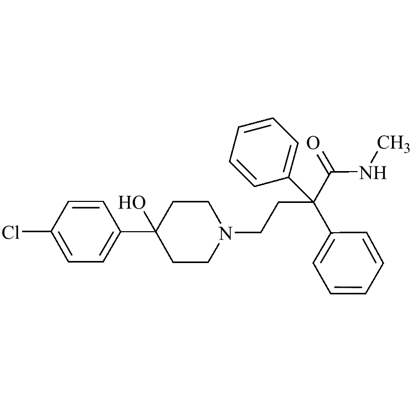
CAS Number: 66164-07-6
Alternate CAS#:
Chemical Name: Desmethyl Loperamide
Molecular Formula: C28H31ClN2O2
Molecular Weight: 463.02
CAS Number: 479073-86-4
Alternate CAS#:
Chemical Name: Desmethyl Thiosildenafil
Molecular Formula: C21H28N6O3S2
Molecular Weight: 476.62
CAS Number: 66357-25-3
Alternate CAS#:
Chemical Name: Desmethyl Ranitidine
Molecular Formula: C12H20N4O3S
Molecular Weight: 300.38
CAS Number: 426-20-0
Alternate CAS#:
Chemical Name: Desmethyl Fluorometholone
Molecular Formula: C21H27FO4
Molecular Weight: 362.44
CAS Number: 1221-70-1 (free base)
Alternate CAS#:
Chemical Name: Desmethyl Doxylamine Succinate
Molecular Formula: C16H20N2O. C4H6O4
Molecular Weight: 256.35 118.09
CAS Number: 101828-08-4
Alternate CAS#:
Chemical Name: Desmethyl Butenafine HCl
Molecular Formula: C22H25N. HCl
Molecular Weight: 303.45 36.46
CAS Number: 134391-02-9
Alternate CAS#:
Chemical Name: Desmethyl Sulfentrazone
Molecular Formula: C10H8Cl2F2N4O3S
Molecular Weight: 373.16
CAS Number: 41089-03-6
Alternate CAS#:
Chemical Name: Demethylbleomycin A2
Molecular Formula: C54H81N17O21S3
Molecular Weight: 1400.52
CAS Number: 2095-20-7
Alternate CAS#:
Chemical Name: Desmethyl Promazine
Molecular Formula: C16H18N2S
Molecular Weight: 270.39













