CAS Number: 238750-77-1
Alternate CAS#:
Chemical Name: Tosedostat
Molecular Formula: C21H30N2O6
Molecular Weight: 406.48
CAS Number:
Alternate CAS#:
Chemical Name: N-Nitroso Torsemide
Molecular Formula: C16H19N5O4S
Molecular Weight: 377.42
CAS Number: N/A
Alternate CAS#:
Chemical Name: Toremifene Impurity C (E-isomer)
Molecular Formula: C26H28ClNO
Molecular Weight: 405.97
CAS Number: 604010-60-8
Alternate CAS#:
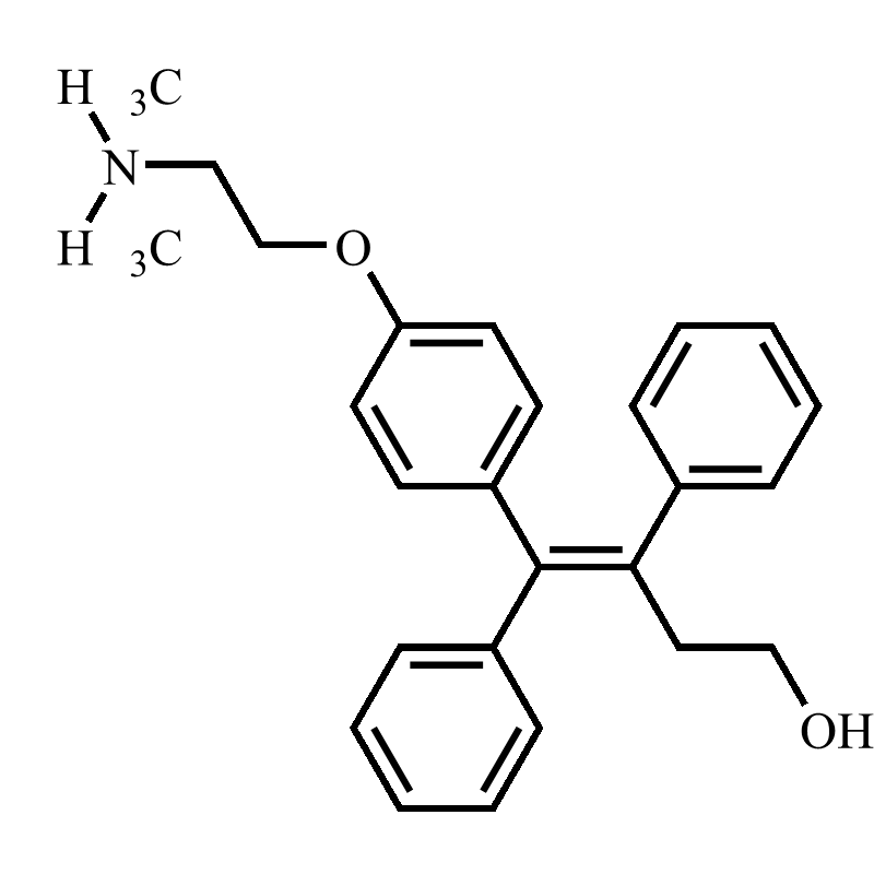
Chemical Name: Toremifene Impurity 3
Molecular Formula: C26H27NO
Molecular Weight: 369.51
CAS Number: N/A
Alternate CAS#:
Chemical Name: Toremifene Impurity 2
Molecular Formula: C26H26ClNO
Molecular Weight: 403.95
CAS Number: N/A
Alternate CAS#:
Chemical Name: Toremifene Impurity 1
Molecular Formula: C26H29NO2
Molecular Weight: 387.52
CAS Number: N/A
Alternate CAS#:
Chemical Name: Toremifene N-Oxide
Molecular Formula: C26H28ClNO2
Molecular Weight: 421.97
CAS Number: 89778-26-7 (non-labelled)
Alternate CAS#:
Chemical Name: Toremifene-d6
Molecular Formula: C26H22D6ClNO
Molecular Weight: 412
CAS Number: 69004-03-1
Alternate CAS#:
Chemical Name: Toltrazuril
Molecular Formula: C18H14F3N3O4S
Molecular Weight: 425.38
CAS Number: 69004-04-2
Alternate CAS#:
Chemical Name: Toltrazuril Sulfone (Ponazuril)
Molecular Formula: C18H14F3N3O6S
Molecular Weight: 457.38
CAS Number: N/A
Alternate CAS#:
Chemical Name: Topramezone-d3
Molecular Formula: C16H14D3N3O5S
Molecular Weight: 366.41
CAS Number: N/A
Alternate CAS#:
Chemical Name: Tropinone-d3
Molecular Formula: C8H10D3NO
Molecular Weight: 142.22













