CAS Number: N/A
Alternate CAS#:
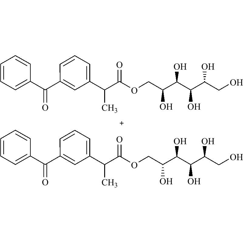
Chemical Name: Ketoprofen Sorbitol Ester (Mixture of Diastereomers)
Molecular Formula: C22H26O8
Molecular Weight: 418.44
CAS Number: 57495-14-4
Alternate CAS#:
Chemical Name: Ketoprofen Sodium Salt
Molecular Formula: C16H13O3 Na
Molecular Weight: 253.28 22.99
CAS Number: 57469-78-0
Alternate CAS#:
Chemical Name: Ketoprofen Lysinate
Molecular Formula: C16H14O3. C6H14N2O2
Molecular Weight: 254.29 146.19
CAS Number: 47087-07-0
Alternate CAS#:
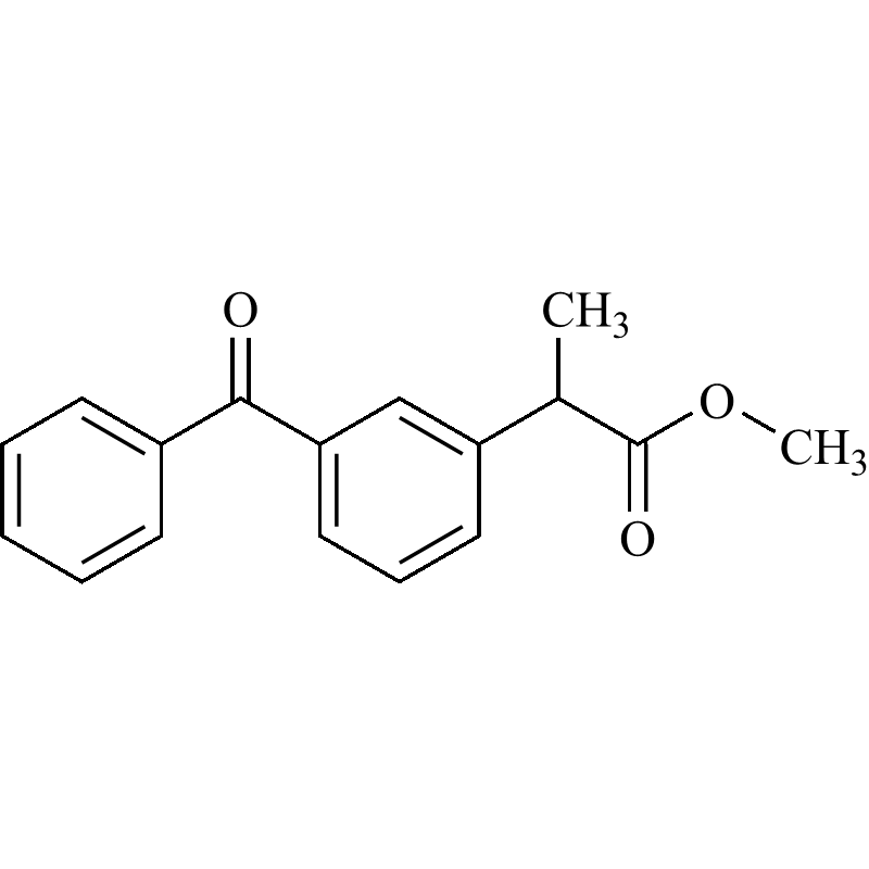
Chemical Name: Ketoprofen Methyl Ester
Molecular Formula: C17H16O3
Molecular Weight: 268.31
CAS Number: N/A
Alternate CAS#:
Chemical Name: Ketoprofen Mannitol Ester
Molecular Formula: C22H26O8
Molecular Weight: 418.44
CAS Number: N/A
Alternate CAS#:
Chemical Name: Ketoprofen Propylene Glycol Ester (Mixture of Isomers)
Molecular Formula: C19H20O4
Molecular Weight: 312.37
CAS Number: 1777830-05-3
Alternate CAS#:
Chemical Name: Ketoprofen Tromethamine Amide
Molecular Formula: C20H23NO5
Molecular Weight: 357.41
CAS Number: 1797984-80-5
Alternate CAS#:
Chemical Name: Ketoprofen EP Impurity L
Molecular Formula: C19H20O3
Molecular Weight: 296.37
CAS Number: N/A
Alternate CAS#:
Chemical Name: Ketoprofen EP Impurity K (Mixture of Isomers)
Molecular Formula: C19H20O3
Molecular Weight: 296.37
CAS Number: N/A
Alternate CAS#:
Chemical Name: Ketoprofen EP Impurity J Sodium Salt
Molecular Formula: C18H17O3. Na
Molecular Weight: 281.33 22.99
CAS Number: 21288-34-6
Alternate CAS#:
Chemical Name: Ketoprofen EP Impurity I
Molecular Formula: C15H11NO
Molecular Weight: 221.26
CAS Number: 5689-33-8
Alternate CAS#:
Chemical Name: Ketoprofen EP Impurity H
Molecular Formula: C9H7NO2
Molecular Weight: 161.16













