CAS Number: 16958-60-4
Alternate CAS#:
Chemical Name: Tenofovir Related Compound 10
Molecular Formula: C8H11N5O
Molecular Weight: 193.21
CAS Number: N/A
Alternate CAS#:
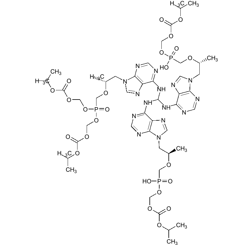
Chemical Name: Tenofovir Trimer Impurity 7
Molecular Formula: C48H72N15O24P3
Molecular Weight: 1336.11
CAS Number: N/A
Alternate CAS#:
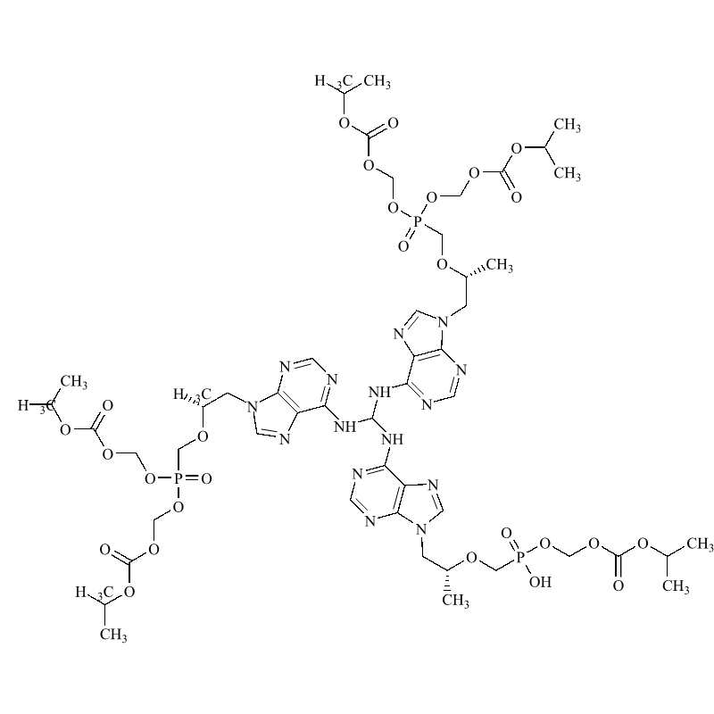
Chemical Name: Tenofovir Trimer Impurity 6
Molecular Formula: C53H80N15O27P3
Molecular Weight: 1452.22
CAS Number: N/A
Alternate CAS#:
Chemical Name: Tenofovir Trimer Impurity 5
Molecular Formula: C58H88N15O30P3
Molecular Weight: 1568.34
CAS Number: N/A
Alternate CAS#:
Chemical Name: Tenofovir Trimer Impurity 4
Molecular Formula: C54H82N15O27P3
Molecular Weight: 1466.25
CAS Number: N/A
Alternate CAS#:
Chemical Name: Tenofovir Trimer Impurity 3
Molecular Formula: C60H90N15O30P3
Molecular Weight: 1594.39
CAS Number: N/A
Alternate CAS#:
Chemical Name: Tenofovir Trimer Impurity 2
Molecular Formula: C50H74N15O24P3
Molecular Weight: 1362.15
CAS Number: N/A
Alternate CAS#:
Chemical Name: Tenofovir Trimer Impurity 1
Molecular Formula: C55H82N15O27P3
Molecular Weight: 1478.27
CAS Number: N/A
Alternate CAS#:
Chemical Name: Tenofovir Disoproxil Maleate
Molecular Formula: C19H30N5O10P. C4H4O4
Molecular Weight: 519.45 116.07
CAS Number: N/A
Alternate CAS#:
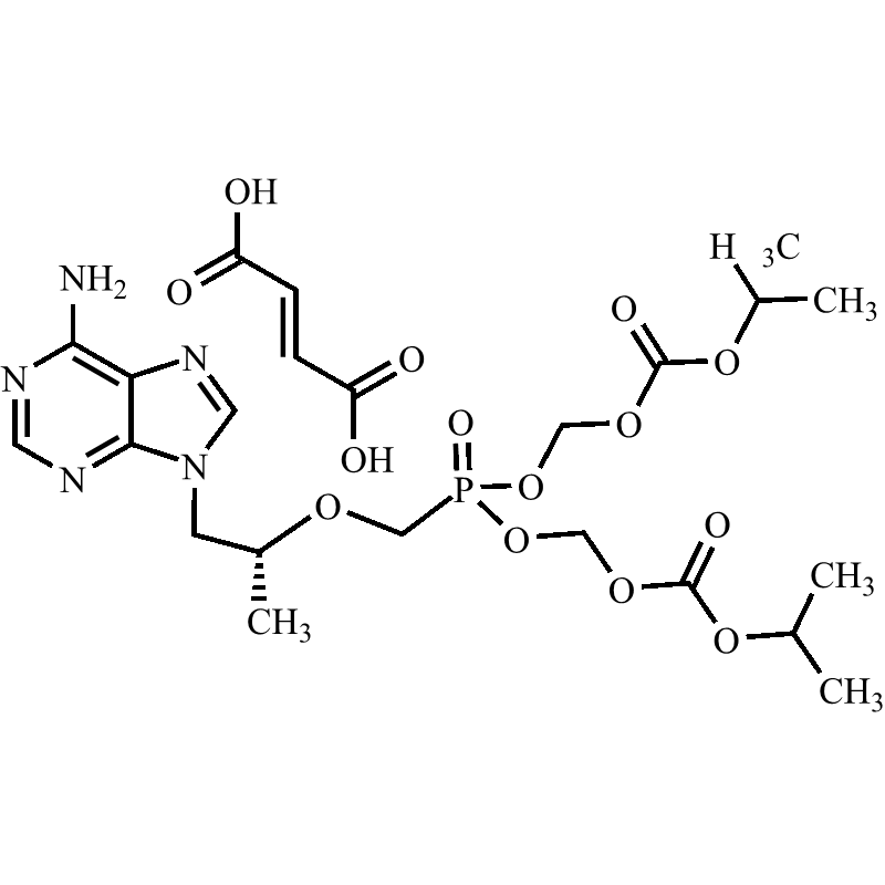
Chemical Name: Rac-Tenofovir Impurity 21 Fumarate
Molecular Formula: C20H27N6O5P . C4H4O4
Molecular Weight: 462.45 . 116.07
CAS Number:
Alternate CAS#:
Chemical Name: Rac-Tenofovir Impurity 20 Fumarate
Molecular Formula: C19H25N6O5P . C4H4O4
Molecular Weight: 448.42 . 116.07
CAS Number: 202138-50-9
Alternate CAS#:
Chemical Name: Tenofovir Disoproxil Fumarate
Molecular Formula: C19H30N5O10P. C4H4O4
Molecular Weight: 519.45 116.07













