CAS Number: N/A
Alternate CAS#:
Chemical Name: Ticagrelor Related Compound 43
Molecular Formula: C9H10ClN . HCl
Molecular Weight: 167.64 36.46
CAS Number: N/A
Alternate CAS#:
Chemical Name: Ticagrelor Related Compound 42
Molecular Formula: C9H10FN . HCl
Molecular Weight: 151.19 36.46
CAS Number: 1788033-05-5
Alternate CAS#:
Chemical Name: Ticagrelor EP Impurity B
Molecular Formula: C23H28F2N6O4S
Molecular Weight: 522.57
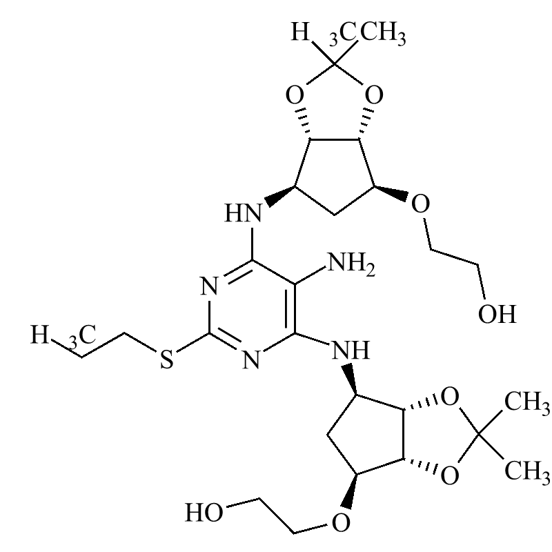
CAS Number: 1882095-51-3
Alternate CAS#:
Chemical Name: Ticagrelor Related Compound 40
Molecular Formula: C27H45N5O8S
Molecular Weight: 599.74
CAS Number: 1446475-48-4
Alternate CAS#:
Chemical Name: Ticagrelor Related Compound 4 (6-Aminotetrahydro-2,2-Dimethyl-4H-Cyclopenta-1.3-dioxol-4-ol)
Molecular Formula: C8H15NO3
Molecular Weight: 173.21
CAS Number: N/A
Alternate CAS#:
Chemical Name: Ticagrelor Related Compound 39
Molecular Formula: C25H37Cl2N6O4S2
Molecular Weight: 620.65
CAS Number: 2165881-71-8 (free base)
Alternate CAS#:
Chemical Name: Ticagrelor Related Compound 38 D-Tartrate
Molecular Formula: C10H19NO4. C4H6O6
Molecular Weight: 217.27 150.09
CAS Number: N/A
Alternate CAS#:
Chemical Name: Ticagrelor Related Compound 37 (DP9)
Molecular Formula: C23H28F2N6O4S
Molecular Weight: 522.58
CAS Number: N/A
Alternate CAS#:
Chemical Name: Ticagrelor Related Compound 36 (DP8)
Molecular Formula: C23H28F2N6O4S
Molecular Weight: 522.58
CAS Number: N/A
Alternate CAS#:
Chemical Name: Ticagrelor Related Compound 35 (DP7)
Molecular Formula: C23H28F2N6O4S
Molecular Weight: 522.58
CAS Number: N/A
Alternate CAS#:
Chemical Name: Ticagrelor Related Compound 34 (DP6)
Molecular Formula: C23H26F2N6O5S
Molecular Weight: 536.56
CAS Number: N/A
Alternate CAS#:
Chemical Name: Ticagrelor Related Compound 33 (DP4)
Molecular Formula: C23H28F2N6O5S
Molecular Weight: 538.58













