CAS Number: N/A
Alternate CAS#:
Chemical Name: Venlafaxine Hydroxyl Methyl Impurity
Molecular Formula: C18H29NO3. HCl
Molecular Weight: 307.44 36.46
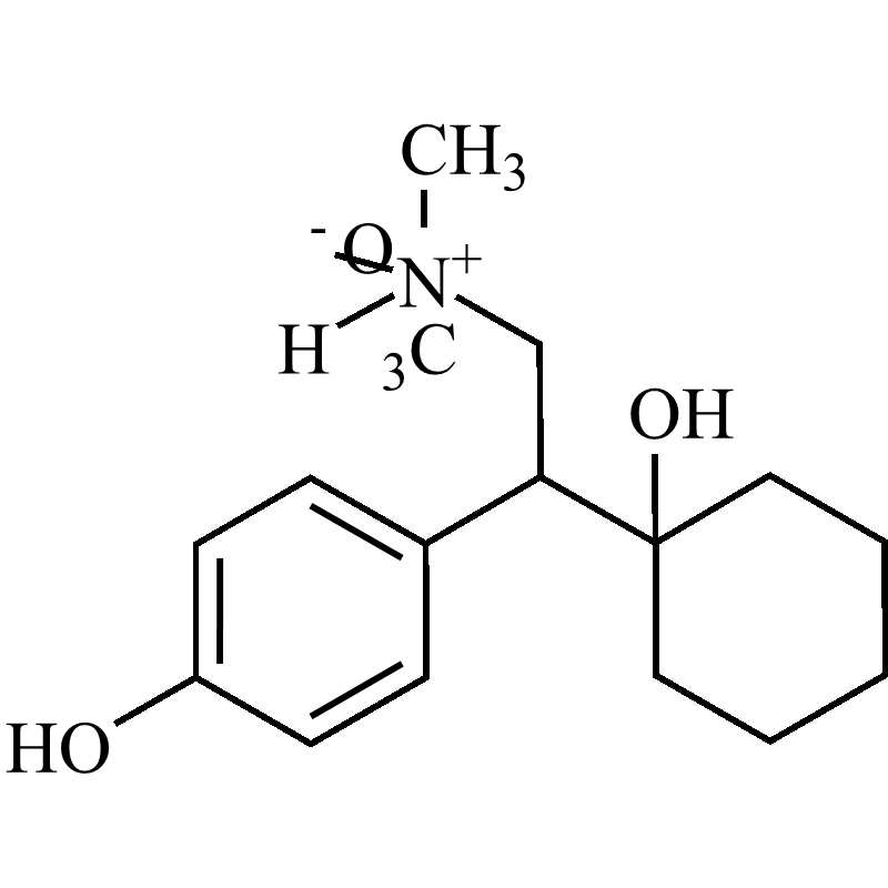
CAS Number: 1021933-95-8
Alternate CAS#:
Chemical Name: Venlafaxine N-Oxide Impurity (O-Desmethyl Venlafaxine N-Oxide)
Molecular Formula: C16H25NO3
Molecular Weight: 279.38
CAS Number: 1187545-61-4
Alternate CAS#:
Chemical Name: Venlafaxine N-Dimer
Molecular Formula: C32H48N2O4
Molecular Weight: 524.75
CAS Number: 1329795-88-1
Alternate CAS#:
Chemical Name: Venlafaxine EP Impurity H
Molecular Formula: C24H33NO3
Molecular Weight: 383.53
CAS Number: 1076199-92-2 (free base)
Alternate CAS#:
Chemical Name: Venlafaxine EP Impurity G HCl
Molecular Formula: C17H27NO. HCl
Molecular Weight: 261.41 36.46
CAS Number: 93413-79-7
Alternate CAS#:
Chemical Name: Venlafaxine EP Impurity F HCl
Molecular Formula: C17H25NO. HCl
Molecular Weight: 259.39 36.46
CAS Number: 93413-56-0
Alternate CAS#:
Chemical Name: Venlafaxine EP Impurity E HCl
Molecular Formula: C17H25NO2. HCl
Molecular Weight: 275.39 36.46
CAS Number: 93413-90-2 (non-labelled)
Alternate CAS#:
Chemical Name: Venlafaxine EP Impurity D-13C-d3 HCl (N-Desmethyl Venlafaxine-13C-d3 HCl)
Molecular Formula: 13C C15H22D3NO2. HCl
Molecular Weight: 267.39 36.46
CAS Number: 93413-90-2
Alternate CAS#:
Chemical Name: Venlafaxine EP Impurity D HCl (N-Desmethyl Venlafaxine HCl)
Molecular Formula: C16H25NO2. HCl
Molecular Weight: 263.38 36.46
CAS Number: 130198-05-9
Alternate CAS#:
Chemical Name: Venlafaxine EP Impurity C HCl (N,N-Didesmethyl Venlafaxine HCl)
Molecular Formula: C15H23NO2. HCl
Molecular Weight: 249.35 36.46
CAS Number: 323176-93-8 (free base)
Alternate CAS#:
Chemical Name: Venlafaxine EP Impurity B HCl
Molecular Formula: C14H21NO3. HCl
Molecular Weight: 251.33 36.46
CAS Number: 50822-98-5
Alternate CAS#:
Chemical Name: Venlafaxine EP Impurity A HCl (Descyclohexanol Venlafaxine HCl)
Molecular Formula: C11H17NO. HCl
Molecular Weight: 179.26 36.46













