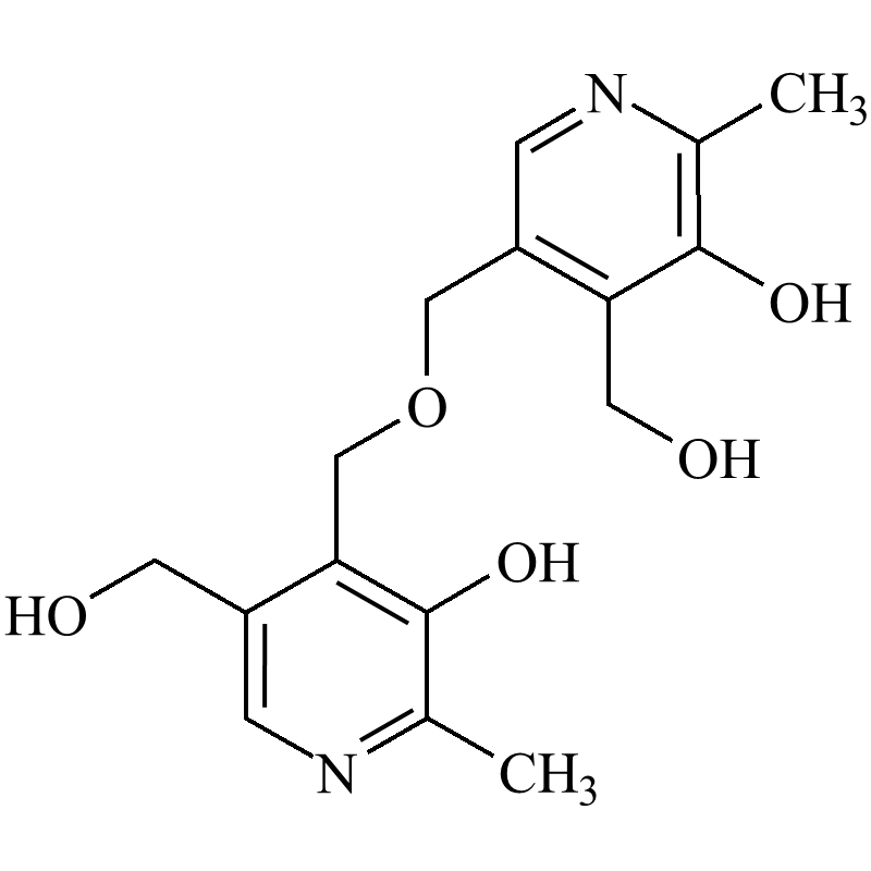
CAS Number: N/A
Alternate CAS#:
Chemical Name: Pyridoxine Impurity 7
Molecular Formula: C16H20N2O5
Molecular Weight: 320.35
CAS Number: N/A
Alternate CAS#:
Chemical Name: Pyridoxine Impurity 6 DiHCl
Molecular Formula: C16H20N2O5. 2 HCl
Molecular Weight: 320.35 2*36.46
CAS Number: 412940-03-5
Alternate CAS#:
Chemical Name: Pyridoxine Impurity 5
Molecular Formula: C12H15NO6
Molecular Weight: 269.26
CAS Number: N/A
Alternate CAS#:
Chemical Name: Pyridoxine Impurity 4
Molecular Formula: C12H15NO6
Molecular Weight: 269.26
CAS Number: 96181-47-4
Alternate CAS#:
Chemical Name: Pyridoxine Impurity 3
Molecular Formula: C12H15NO6
Molecular Weight: 269.25
CAS Number: N/A
Alternate CAS#:
Chemical Name: Pyridoxine Impurity 2
Molecular Formula: C16H20N2O5
Molecular Weight: 320.35
CAS Number: N/A
Alternate CAS#:
Chemical Name: Pyridoxine Impurity 16
Molecular Formula: C8H10ClNO
Molecular Weight: 171.62
CAS Number: N/A
Alternate CAS#:
Chemical Name: Pyridoxine Impurity 15
Molecular Formula: C8H9ClN2O2
Molecular Weight: 200.62
CAS Number: N/A
Alternate CAS#:
Chemical Name: Pyridoxine Impurity 14
Molecular Formula: C8H9Cl2N
Molecular Weight: 190.07
CAS Number: N/A
Alternate CAS#:
Chemical Name: Pyridoxine Impurity 13
Molecular Formula: C8H9NO4
Molecular Weight: 183.16
CAS Number: 90005-85-9
Alternate CAS#:
Chemical Name: Pyridoxine Impurity 12 HCl
Molecular Formula: C8H9NO3. HCl
Molecular Weight: 167.17 36.46
CAS Number: 76963-36-5
Alternate CAS#:
Chemical Name: Pyridoxine Impurity 11
Molecular Formula: C8H11NO4
Molecular Weight: 185.18













