CAS Number: 2241326-73-6
Alternate CAS#:
Chemical Name: Vitamin K2 Impurity 11
Molecular Formula: C46H64O2
Molecular Weight: 649.02
CAS Number: N/A
Alternate CAS#:
Chemical Name: Vitamin K2 Impurity 10
Molecular Formula: C18H31Br
Molecular Weight: 327.35
CAS Number: N/A
Alternate CAS#:
Chemical Name: Vitamin K2 Impurity 1
Molecular Formula: C31H40O2
Molecular Weight: 444.66
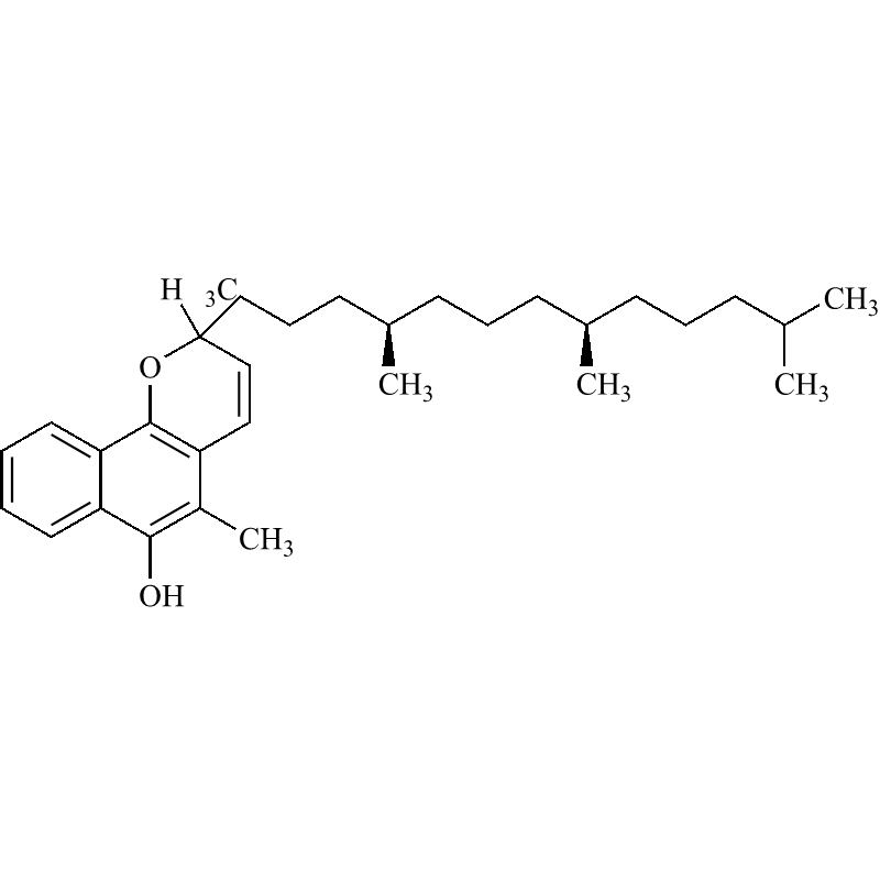
CAS Number: 15576-40-6
Alternate CAS#:
Chemical Name: Vitamin K1 Impurity 3
Molecular Formula: C31H46O3
Molecular Weight: 466.71
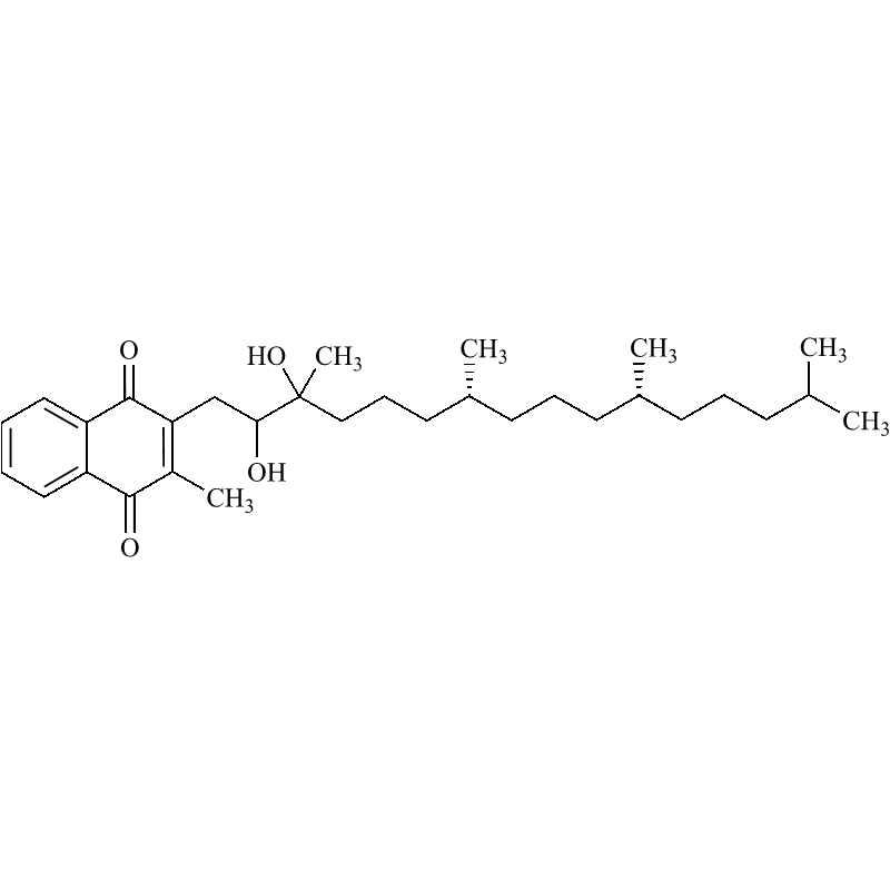
CAS Number: N/A
Alternate CAS#:
Chemical Name: Vitamin K1 Impurity 2 (Mixture of Diastereomers)
Molecular Formula: C31H48O4
Molecular Weight: 484.72
CAS Number: 19274-66-9; 34044-00-3
Alternate CAS#:
Chemical Name: Vitamin K1 Impurity 1
Molecular Formula: C31H46O2
Molecular Weight: 450.71
CAS Number: 483-55-6
Alternate CAS#:
Chemical Name: Vitamin K1 Related Compound 3 (Phthiocol)
Molecular Formula: C11H8O3
Molecular Weight: 188.18
CAS Number: 502-69-2
Alternate CAS#:
Chemical Name: Vitamin K1 Related Compound 2 (Phytone)
Molecular Formula: C18H36O
Molecular Weight: 268.49
CAS Number: 22399-39-9
Alternate CAS#:
Chemical Name: Vitamin K1 Related Compound 1
Molecular Formula: C13H10O3
Molecular Weight: 214.22
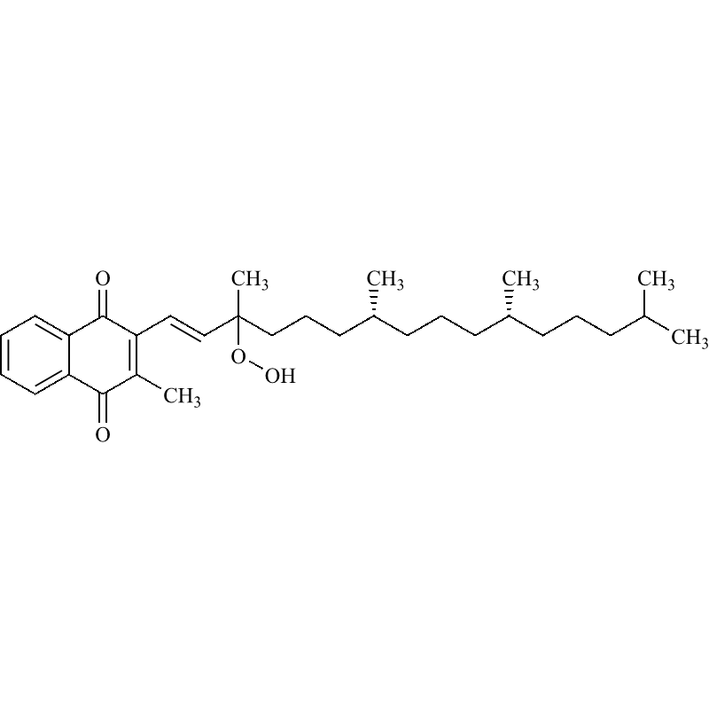
CAS Number: 23397-22-0
Alternate CAS#:
Chemical Name: Vitamin K1 Hydroperoxide
Molecular Formula: C31H46O4
Molecular Weight: 482.71
CAS Number:
Alternate CAS#:
Chemical Name: Vitamin K1 Mixture 2
Molecular Formula: C20H40
Molecular Weight: 280.54
CAS Number: N/A
Alternate CAS#:
Chemical Name: Vitamin K1-18O2
Molecular Formula: C31H46O2
Molecular Weight: 454.71













