CAS Number: 49797-79-7
Alternate CAS#:
Chemical Name: Pyridoxine Impurity 10 HCl
Molecular Formula: C8H11NO4. HCl
Molecular Weight: 185.18 36.46
CAS Number: N/A
Alternate CAS#:
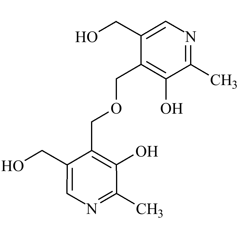
Chemical Name: Pyridoxine Impurity 1
Molecular Formula: C16H20N2O5
Molecular Weight: 320.35
CAS Number: 148-51-6
Alternate CAS#:
Chemical Name: Pyridoxine EP Impurity B HCl
Molecular Formula: C8H11NO2. HCl
Molecular Weight: 153.18 36.46
CAS Number: 1006-21-9
Alternate CAS#:
Chemical Name: Pyridoxine EP Impurity A HCl
Molecular Formula: C8H9NO2. HCl
Molecular Weight: 151.17 36.46
CAS Number: 587888-42-4
Alternate CAS#:
Chemical Name: Vitamin K2 Impurity 9
Molecular Formula: C18H32O
Molecular Weight: 264.45
CAS Number: N/A
Alternate CAS#:
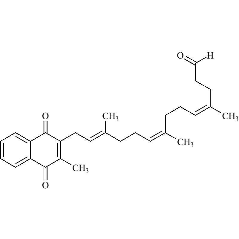
Chemical Name: Vitamin K2 Impurity 8
Molecular Formula: C28H34O3
Molecular Weight: 418.58
CAS Number: N/A
Alternate CAS#:
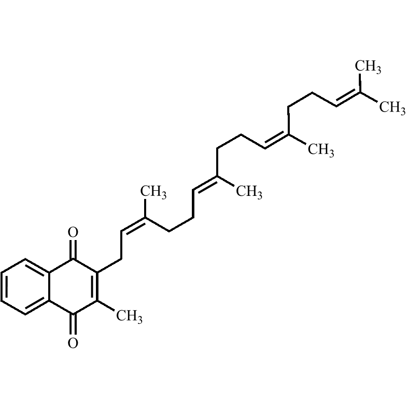
Chemical Name: Vitamin K2 Impurity 7
Molecular Formula: C31H40O2
Molecular Weight: 444.66
CAS Number: N/A
Alternate CAS#:
Chemical Name: Vitamin K2 Impurity 6
Molecular Formula: C31H40O2
Molecular Weight: 444.66
CAS Number: N/A
Alternate CAS#:
Chemical Name: Vitamin K2 Impurity 5
Molecular Formula: C31H40O2
Molecular Weight: 444.66
CAS Number: N/A
Alternate CAS#:
Chemical Name: Vitamin K2 Impurity 4
Molecular Formula: C31H40O2
Molecular Weight: 444.66
CAS Number: N/A
Alternate CAS#:
Chemical Name: Vitamin K2 Impurity 3
Molecular Formula: C31H40O2
Molecular Weight: 444.66
CAS Number: N/A
Alternate CAS#:
Chemical Name: Vitamin K2 Impurity 2
Molecular Formula: C31H40O2
Molecular Weight: 444.66













